Esempio Relazione Di Chimica Laboratorio

Rai scuola vi propone un percorso dedicato ad approfondire la conoscenza della chimica, attraverso approfondimenti, articoli e le lezioni de la scuola in tv, realizzate direttamente dai docenti e insegnanti indicati dal ministero dell'istruzione.

Esempio Relazione Di Chimica Laboratorio. Rai scuola vi propone un percorso dedicato ad approfondire la conoscenza della chimica, attraverso approfondimenti, articoli e le lezioni de la scuola in tv, realizzate direttamente dai docenti e insegnanti indicati dal ministero dell'istruzione. Si riporta un esempio di relazione di laboratorio di chimica relativo alla titolazione di un acido forte con una base forte e sua standardizzazione. Come si vede dall'equazione chimica bilanciata, i due reagenti (na2co3 e cacl2) si combinano in quantità equimolecolari, ovvero ad ogni mole (o molecola) del primo reagente si combina un quantitativo in mole (o molecole) uguale del secondo reagente per formare.

Come Valutare L Esposizione A Numerose Sostanze Chimiche
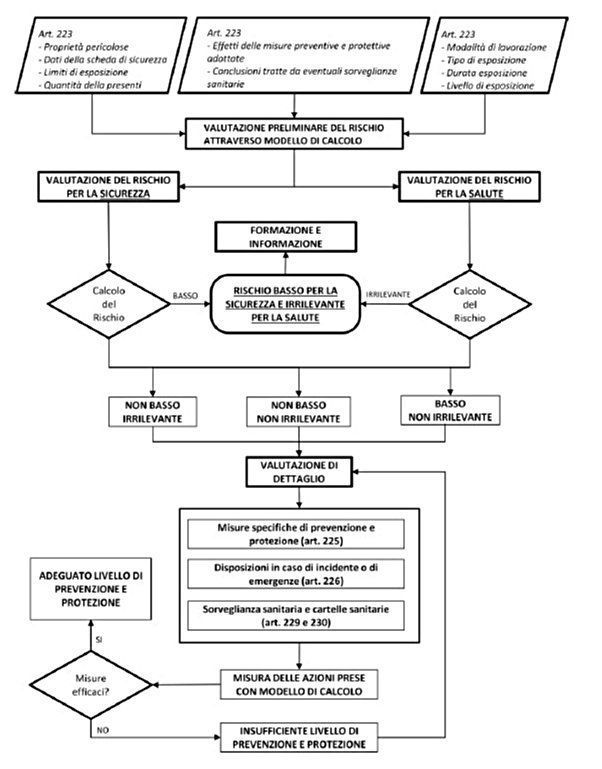
Come Valutare L Esposizione A Numerose Sostanze Chimiche from www.puntosicuro.it
Attrezzi del laboratorio di chimica. Distillazione solfato di rame e acqua. Un documento sul rischio chimico a cui sono esposti gli operatori dei laboratori delle agenzie ambientali si sofferma sui dispositivi di classificazione delle cappe in funzione della velocità frontale rilevata e relazione con grado di tossicità e valori di vle (valore limite di esposizione): Relazioni ponderali nelle reazioni chimiche:

Il primo è di colore verde scuro, il secondo è azzurro ed il terzo è marrone.

Relazione di laboratorio esercitazione di laboratorio di elettrotecnica n 3 svolta in data 30/11/2010 corso di laurea in ingegneria aerospaziale docente del corso 1 del 4/6/8 pagina 1 di 16 circuiti raddrizzatori un primo esempio di utilizzo dei diodi è costituito dai circuiti raddrizzatori. Il laboratorio biallo, da sempre convenzionato col ssn, è presente sul territorio dal 1961. Il laboratorio chimico è un'azienda speciale della camera di commercio di torino e rappresenta la sintesi degli interessi delle categorie economiche e dei consumatori, offrendo loro un servizio di analisi, consulenza e formazione assolutamente indipendente ed imparziale. 61 lavori per tecnico laboratorio chimico disponibili a milano, lombardia su indeed.com. In cdc è possibile effettuare, senza necessità di presentare alcuna documentazione (esempio richiesta del.