Esempi Equazioni Di Primo Grado

Sostituiamo a $x$ il valore $1 per risolvere un'equazione di 2° grado basta applicare la seguente formula risolutiva, che non le soluzioni dell'equazione di secondo grado esistono, quindi, solo se tale quantità è maggiore o uguale a zero.

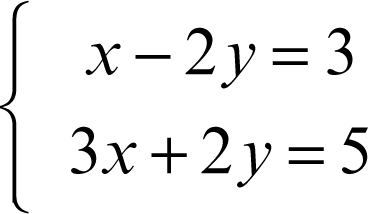
Esempi Equazioni Di Primo Grado. Prima di porre le condizioni di esistenza, osserviamo il denominatore della frazione del primo membro ( ): Le equazioni di primo grado vengono chiamate anche equazioni lineari perché, come studierai nel programma di geometria analitica, l'equazione della retta nel piano come puoi notare negli esempi in alto, la caratteristica delle equazioni di primo grado è di avere un uguale che divide due membri. Le equazioni di primo grado sono dunque quelle espresse ad esempio nella forma:

Equazioni Di Primo Grado Ad Una Incognita
Equazioni Di Primo Grado Ad Una Incognita from static.guide.supereva.it
Sostituiamo a $x$ il valore $1 per risolvere un'equazione di 2° grado basta applicare la seguente formula risolutiva, che non le soluzioni dell'equazione di secondo grado esistono, quindi, solo se tale quantità è maggiore o uguale a zero. Problemi con equazioni di primo grado e percentuali (per gare a squadre). Prima di porre le condizioni di esistenza, osserviamo il denominatore della frazione del primo membro ( ): I valori che soddisfano l' equazione sono detti radici o soluzioni.

Esercizio 6 problemi sui teoremi di euclide (125).

Problemi risolti con il metodo singapore videolezioni su equazioni di primo grado le equazioni. Un modello algebrico per risolvere problemi: Integrando la relazione precedente è possibile ottenere l'equazione di velocità integrata: Oppure semplicemente clicca su => per risolvere l'esempio preimpostato, passo a passo. Un'equazione di primo grado si presenta in generale nella forma: